通用名称: 厄贝沙坦片
英文名称: Irbesartan Tablets
商品名称: 伊达力
本品主要成份为厄贝沙坦。
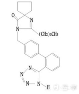
化学名称:2-丁基-3-[[邻-1 H-5-四唑基苯基)苄基]-1,3-二氮杂螺[4,4]壬-1-烯-4-酮
化学结构式:

分子式:C25H28N6O
分子量:428.5
通常建议的初始剂量和维持剂量为每日 0.15 g,饮食对服药无影响。一般情况下,厄贝沙坦 0.15 g 每天一次比 75 mg 能更好地控制 24 小时的血压。但对某些特殊的病人,特别是进行血液透析和年龄超过 75 岁的病人,初始剂量可考虑用 75 mg。
使用厄贝沙坦 0.15 g 每天一次不能有效控制血压的患者,可将本品剂量增至 0.30 g,或者增加其它抗高血压药物。尤其是加用如双氢克尿噻类利尿剂已经显示出具有附加效应。
在患有Ⅱ型糖尿病的高血压患者中,治疗初始剂量应为 0.15 g 每日一次,并可增量至 0.30 g 每日一次,作为治疗肾脏疾病较好的维持剂量。临床研究证明,厄贝沙坦使高血压Ⅱ型糖尿病患者的肾脏受益。在研究中,厄贝沙坦在必要时加用其他抗高血压药物,降低患者血压并达到目标值。
肾功能损伤:
肾功能损伤的患者无需调整本品剂量,但对进行血液透析的病人,初始剂量可考虑使用低剂量(75 mg)。
血容量消耗:
血容量和/或钠消耗的患者在使用本品前应纠正。
肝功能损害:
轻中度肝功能损害的患者无需调整本品剂量。对严重肝功能损害的病人,目前无临床经验。
老年患者:
尽管 75 岁以上的老年人可考虑由 75 mg 作为起始剂量,但通常对老年患者不需调整剂量。
儿童:
厄贝沙坦片在儿童的安全性和疗效尚未建立。
肾素-血管紧张素-醛固酮系统(RAAS)双重阻滞:
与单药相比, RAAS 的双重阻滞作用增加了低血压、高血钾和肾功能异常的风险, 所以不推荐本品与血管紧张素转换酶抑制剂(ACEI)或阿利吉仑同时使用。糖尿病患者或中重度肾功能受损(GFR 小于 60 ml/min/1.73m2)患者禁止同时使用本品与阿利吉仑。
糖尿病肾病患者不能将本品与血管紧张素转换酶抑制剂(ACEls)联合使用。
一般注意事项:
对于那些血管张力和肾功能主要依赖肾素-血管紧张素-醛固酮系统活性的患者(如严重充血性心力衰竭患者或者肾脏疾病患者包括肾动脉狭窄), 使用能影响该系统的血管紧张素转换酶抑制剂或血管紧张素受体拮抗剂治疗时,与出现急性低血压、氮质血症、少尿、或少见的急性肾功能衰竭有关。就如使用任何抗高血压药物,对缺血性心肌病或缺血性心血管疾病患者过度降血压可能导致心肌梗死或卒中。
*胎儿新生儿发病和死亡: *
尽管尚无本品在孕妇中使用的经验,但据报道,在妊娠中晚期,子宫内暴露于 ACE 抑制剂可能导致发育期胎儿损伤和死亡。因此,与任何直接作用于肾素血管紧张素-醛固酮系统的药物相似,不得在妊娠期使用本品。如果在治疗期间发现妊娠,必须尽快停止本品治疗。
低血压血容量不足患者:
在无其它合并症的高血压患者中,本品极少导致低血压。与 ACE 抑制剂相似,在钠不足/血容量不足患者中,例如接受大量利尿剂和/或限盐治疗或血液透析的患者中,可能出现症状性低血压。在开始厄贝沙坦治疗前,必须纠正血容量不足和/或钠不足或考虑较低的起始剂量。
肾血管性高血压:
存在双侧肾动脉狭窄或单个功能肾的动脉发生狭窄的患者,使用影响肾素-血管紧张素-醛固酮系统的药物时,发生严重低血压和肾功能不全的危险增加,有过血清肌酐和或尿素氮水平增高的报告。尽管尚未有本品用于单侧或者双侧肾动脉狭窄患者的经验,但应当考虑血管紧张素受体拮抗剂的类似效应。
肾功能损害和肾脏移植:
当肾功能损害的患者使用本品时,推荐对血清钾和肌酐定期监测。没有关于近期行肾移植患者使用本品的经验。
合并有 2 型糖尿病和肾脏疾病的高血压患者:
在所有的亚组中,对晚期肾脏疾病患者研究结果进行分析显示厄贝沙坦对肾脏和心血管事件的效应是不一致的。尤其是本品似乎对妇女和非白种人群受益较少。
高钾血症:
就如其它影响肾素-血管紧张素-醛固酮系统的药物,使用本品过程中可能会发生高血钾,尤其是存在肾功能损害、由于糖尿病肾损害所致的明显蛋白尿和/或心力衰竭。建议密切监测这些患者的血清钾水平。
锂剂:
不建议本品和锂剂合用。
主动脉和二尖瓣狭窄,肥厚梗阻性心肌病:
就如使用其它的血管扩张剂,主动脉和二尖瓣狭窄及肥厚梗阻性心肌病患者使用本品时应谨慎。
原发性醛固酮增多症:
原发性醛固酮增多症的患者通常对那些通过抑制肾素-血管紧张素系统的抗高血压药物没有反应。因此不推荐这些患者使用本品。
种族:
如同使用血管紧张素转换酶抑制剂所观察的结果,厄贝沙坦和其它血管紧张素拮抗剂在降低血压方面,对黑人的疗效明显差于非黑人,可能由于黑人的高血压患者中低肾素水平比例较高。
对驾驶和操作机器能力的影响:
尚未研究厄贝沙坦对驾驶和操作机器的能力的影响,但根据其药效学特性,厄贝沙坦未必会对这类能力产生影响。在驾车或操作机器时,应该考虑到在高血压治疗中偶尔可出现头晕或疲倦。
妊娠:直接作用于肾素血管紧张素系统的药物,可能造成发育期胚胎损伤甚至死亡。因此,与任何直接作用于肾素血管紧张素-醛固酮系统的药物相似,不得在妊娠期使用本品。如果在治疗期间发生妊娠,必须尽快停止本品治疗。作为保险措施,在妊娠的前三月最好不使用本品。在计划妊娠前应转换为合适的替代治疗。在妊娠的第 4 月至第 9 月,直接作用于肾素-血管紧张素系统的物质能引起胎儿和新生儿的肾功能衰竭,胎儿头颅发育不良和胎儿死亡,因此,本品禁用于妊娠 4 月至 9 月的孕妇。如果被查出怀孕,应尽快停用本品,如果由于疏忽治疗了较长时间,应超声检查头颅和肾功能。
泌乳:本品禁用于哺乳期。厄贝沙坦是否分泌入人乳汁中尚不清楚。厄贝沙坦能分泌入鼠的乳汁中。
尚无该药致突变、促/有丝分裂和致癌的证据。
厄贝沙坦的动物研究显示其对鼠`胚胎短暂的毒性效应(肾盂成腔增加,输尿管或皮下水肿),出生后就消除。在兔子实验中,使用能明显引起雌性毒性作用的剂量时可观察到流产或早期吸收。在鼠和兔子实验中没有观察到致畸效应。
厄贝沙坦是一种有/效的、口服活性的选择性血管紧张素-Ⅱ受体(ATI 亚型)拮抗剂。
不管`血管紧张素-Ⅱ的来源或合成途径如何,它应该能阻断所有由 ATI 受体介导的血管紧张素-Ⅱ的作用。其对血管紧张素-Ⅱ受体(ATI)选择性拮抗作用导致了血浆肾素和血管紧张素-Ⅱ水平的升高和血浆醛固酮水平的降低。给予无电解质紊乱的患者单独使用推荐剂量的厄贝沙坦时,血清钾不会受到明显影响。厄贝^沙坦不抑制血管紧张素转换酶(ACE 或激酶Ⅱ),在该酶的作用下能生成血管紧张素-Ⅱ,也能将缓激肽降解为非活性代谢物。厄贝沙坦的活性不需要代谢激活。
在健康受试者中,300 mg 的厄贝沙坦单次口服剂量与抑制血管紧张素-1 的升压效应存在剂量相关性。150 mg 或 300 mg 口服剂量给药后 4 小时产生完全的抑制效应(100%),部分抑制效应仍持续达 24 小时(300 mg 和 150 mg 时分别为 60%和 40%)。
在高血压患者中,厄贝沙坦长期给药后血管紧张素-1 受体的抑制作用引起血管紧张素-11 血浆浓度 1.5-2 倍的升高,以及血浆肾素水平 2-3 倍的升高。醛固酮水平通常在厄贝沙坦给药后下降,但血钾水平在推荐剂量下并无显著影响。
在高血压患者中,厄贝沙坦长期口服给药(高达 300 mg)对肾小球滤过率、肾血浆流量和滤过分数没有影响。在高血压患者中进行的多剂量给药研究中,厄贝沙坦对空腹甘油三脂、总胆固醇、HDL-胆固醇以及空腹血糖浓度均没有具临床意义的影响。厄贝沙坦在长期口服给药期间对血清尿酸没有影响,亦没有促尿酸排泄作用。
在使用与临床相关剂量时没有异常的机体或靶器官毒性作用的证据。在临床前安全性研究中,高剂量(鼠使用剂量为 ≥ 250 mg/kg/日;恒河猴使用剂量为 ≥ 100 mg/kg/日)的厄贝沙坦导致红细胞参数(红细胞数,血红蛋白,血容比积)的减少。在很高剂量时( ≥ 500 mg/kg/日),厄贝沙坦可在鼠和恒河猴中诱导肾脏变性作用(如间质性肾炎,肾小管肿胀,血浆尿素氮和肌酐浓度的升高),被认为是继发于该药的低血压效应,后者可能导致肾脏灌注不足。而且厄贝沙坦可诱导肾小球旁器的增生/肥厚(当鼠使用剂量为 ≥ 90 mg/kg/日;恒河猴使用剂量为 ≥ 10 mg/kg/日)。所有这些改变被认为是由于厄贝沙坦的药理作用所致。就厄贝沙坦在人类使用的治疗剂量而言,肾小球旁器细胞的增生,肥厚与其无关。
尚无该药致突变、促有丝分裂和致癌的证据。
厄贝沙坦的动物研究显示其对鼠胚胎短暂的毒性效应(肾盂成腔增加,输尿管或皮下水肿),出生后就消除。在兔子实验中,使用能明显引起雌性毒性作用的剂量时可观察到流产或早期吸收。在鼠和兔子实验中没有观察到致畸效应。
口服给药后,厄贝沙/坦吸收良好:其绝对生物利用度大约为 60~80%。进食不会明显影响`其生物利用度。
厄贝沙坦血浆蛋白的结合率大约为 96%,几乎不和血液细胞结合,其分布容积为 53~93 升。口服或静脉给予14C 厄贝沙坦后,血液循环内 80~85% 的放射性来自原型的厄贝沙坦。厄贝沙坦在肝脏与葡萄糖醛酸结合氧化而被代谢。主要的循环代谢物为葡萄糖醛酸结合型厄贝沙坦(大约为 6%)。体外实验显示厄^贝沙坦主要由细胞色素 P450 酶 CYP2C9 氧化代谢,同工酶 CYP3A4 几乎没有效应。
厄贝沙坦的药代动力学在 10~600 mg 范围内显示线性和剂量相关性。当口服剂量大干 600 mg(两倍的最大推荐剂量)时,可观察到其不能按比例地增加;其机理尚不明确。口服后大约 1.5~2 小时可达血浆峰浓度。机体总清除率和肾清除分别为 157~176 和 3.0~3.5 ml/min,厄贝沙坦的终末清除半衰期为 11~15 小时。按每日一次的服药方法,三天内达到血浆稳态浓度。重复每日一次给药后血浆内积蓄有限(<20%)。在某个研究中观察到女性高血压患者厄贝沙坦的浓度较高。然而,其半衰期和积蓄没有差异。女性患者不需药物剂量调整。厄贝沙坦的 Cmax 和 AUC 值在老年受试者(>65 岁)比那些年轻受试者(18~40 岁)高。然而终末半衰期没有明显改变。老年患者也不需要调整剂量。
厄贝沙坦及其代谢产物由胆道和肾脏排泄。口服或静脉给予14C 厄贝沙坦后,大约 20% 的放射性可在尿液中回收,其余排泄在粪便中。不足 2% 的剂量以原型在尿液中排泄。
肾功能损害:肾功能损害的患者或那些进行血液透析的患者,厄贝沙坦的药代动力学参数没有明显改变。厄贝沙坦不能经血液透析清除。
肝功能损害:对轻度至中度肝硬化的患者,厄贝沙坦的药代动力学参数没有明显改变。对严重肝功能损害的患者没有进行药代动力学的研究。